
5′-O-DMT-2′-O-TBDMS-N1-Me-pU-Phosphoramidite
2022-06-14
Ribonuclease R, RNase R
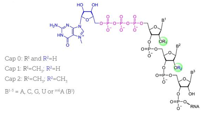
2022-09-02CAP Series – mRNA Core raw materials
Order
| P062021 | CAP GAG m7G(5′)ppp(5′)(2’OMeA)pG | >=97% Na+ / NH4+ 100mM solution |
| P062022 | CAP GAG (3’OMe)m7(3’OMeG)(5′)ppp(5′)(2’OMeA)pG | >=97% Na+ / NH4+ 100mM solution |
| P062023 | CAP GGG m7G(5′)ppp(5′)(2’OMeG)pG | >=97% Na+ / NH4+ 100mM solution |
| P062024 | CAP GGG (3’OMe)m7(3’OMeG)(5′)ppp(5′)(2’OMeG)pG | >=97% Na+ / NH4+ 100mM solution |
| P062025 | CAP GAG (m6A)m7G(5′)ppp(5′)(2’OMe, m6A)pG | >=97% Na+ / NH4+ 100mM solution |








